以NMOS晶體管為例,闡明MOS的工作原理特征
信息來源:本站 日期:2017-08-15
首先討論將柵極與源極短路、接地(VGS=OV)時的狀況。如圖1.9所示的MOS晶體管。這種狀態下,雖然漏極上加電壓VDS,但是在漏極—源極間簡直沒有電流流過。為什么?如圖1.10所示,這是由于此時的漏極與源極間能夠等效為兩個pn結二極管反向連接。
1.VGS從0V→漸增加
當柵極—源極間的電壓VGS從0V逐步增加時(圖1.11),那么在一定電壓下,如圖1. 12所示,在柵氧化膜下面會構成稱為溝道的n型化的區域,即構成n型反型層。這個溝道就是將源區與漏區l連接起來的電子通路。這時如圖1.12所示,當漏極加電壓VDS時,漏極—源極間就有電流流過,該電流叫做漏極電流。把構成溝道所必需的柵極—源極間的電壓叫做閾值電壓VT,關于Si MOS晶體管來說,大約是0.6V。用VTN、VTP分別表示NMOS晶體管和PMOS晶體管的闞值電壓。柵極—源極間所加電壓VGS高于閾值電壓VT構成溝道的狀態稱為強反型狀態(strong inversion)。

2.當VGS大于VT,VDS增加時
在堅持VGS大于VT前提下,VDS逐步從OV增大時,如圖1.13(a)所示,漏極電流ID也在增加。這時的漏極電流表達式由下式給出:

式中,W是MOS晶體管的溝道寬度;L是MOS晶體管的溝道長度。w與L都是重要的參數,溝道寬度W和長度L如何肯定是晶體管設計中的重要問題,這里首先需求留意的是,漏極電流ID與溝道寬度W成比例,而與溝道長度L成反比。
我們再來看式(1.1)中的其他參數。μ是載流子遷移率,在NMOS與PMOS中分別是電子和空穴的遷移率,用μn和μp表示。其典型值為

就是說,PMOS與NMOS的遷移率相差3倍。假如晶體管的電流驅動才能相同,那么NMOS的尺寸大小就只要PMOS的1/3。
Cox是MOS晶體管單位面積的柵電容,由下式給出:
式中,εox真空介電常數(8.85X10-14[F/cm]),εox為柵氧化膜的相對介電常數(SiO2是3.9);tox是柵氧化膜的厚度。
式(1.1)表示的漏極電流表達式適用的條件是VGS>VT,VDS≤VGS-VT。在這個條件下MOS晶體管的工作區域稱為非飽和區,也叫做線性區(linear region)
當VDS處于OV左近時,精確地說,是當VDS《2(VGS-VT)時,式(1.1)右邊的第2項能夠疏忽不計,能夠近似為下式:

由該式能夠看出,當VDS《2(VGS-VT)時,ID與VDS成比例。實踐上,如圖1.13(b)所示,在VDS接近ov的區域,能夠看到ID與VDS,成比例地增加。隨著VDS的增大,式(1.1)中的-VDS2/2變得不可疏忽,這時ID的增加就遲緩了。
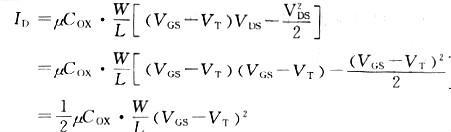
在VGS大于VT的強反型狀態,假如漏極-源極電壓進一步增加,到達VDS=VGS-VT時,漏極電流ID就變為下式:

在漏極-源極間電壓進一步增加的狀況下(也就是VDS>VGS -VT),漏極電(流不再像前面那樣增加,根本上是一定值,其值由式(1.4)給出。這個工作區域(VDS>VGS-VT)稱為飽和區。
4.模仿電路工作在飽和區
圖1. 14示出漏極電流ID與漏極-源極間電壓VDS的關系。非飽和區與飽和區R的分界是

圖1. 15是以柵極-源極間電壓VGS為參變量的狀況下漏極電流ID與漏極-源極間電壓VDS的關系。隨著VGS的增加,ID也在增。虛線表示飽和區與非飽和區的分界。能夠看出,VGS越高為了使晶體管丁作在飽和區就需求更大的VDS。

再來討論以柵極-源極間電壓VGS為橫軸時漏極電流ID的變化。當MOS晶體管工作在飽和區時,由于這時的ID由式(1.4)給出,所以如圖1.16所示,ID與VGS的關系是2次方特性。
取式(1.4)兩邊的平方根,就是

能夠看出,ID是VGS的一次函數。圖1.17示出ID與VGS的關系。從該圖中可以看出,在VGS>VT時,ID是VGS的一次函數。外插直線與橫軸VGS的交點就是閾值電壓VT。